5d强SOC氧化物SrIrO3低维体系研究进展
来源: 中科院物理研究所 发布时间:2024-04-10
作为5d过渡金属氧化物的典型代表之一,钙钛矿结构的SrIrO3(SIO)中自旋-轨道耦合(SOC)及电子关联能(U)相当,二者的相互竞争使得SIO中存在丰富多彩的新奇量子效应,如金属-绝缘体转变,顺磁-反铁磁转变、以及Mott绝缘体-Slater绝缘体中间态。在3d - 5d氧化物异质界面上,3d体系引入的强电子-电子关联(EEC)能够调控界面附近电子的相互作用从而诱导出新奇物性。然而有关3d - 5d界面处相互作用的物理机制,目前研究的还不够清楚,某些方面还存在一定的争议和分歧。此外,SIO具有较强的自旋霍尔效应和较大的自旋霍尔角,这使其在氧化物自旋电子学方面很有应用前景。将其与磁性材料制备成多层膜,可以产生对称性诱导的各向异性自旋轨道转矩、电流和晶向诱导的磁性开关等。然而,目前基于SIO的自旋-电荷转换的调控手段都依赖于磁性材料,需要利用极化光子或磁场等来操纵电子的自旋状态。如何在非磁性SIO中产生、探测和调控自旋流对于设计自旋相关器件而言十分关键。丰富和完善SIO材料在自旋电子学中的基础研究,从而提高自旋-电荷转换效率,发展新的自旋流探测手段对推动氧化物自旋器件应用有着重要意义。
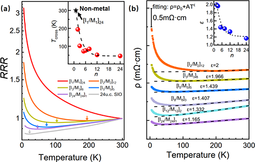
中国科学院物理研究所/北京凝聚态物理国家研究中心怀柔研究部HM-SF06课题组的孟梦副研究员和博士后谷明辉,在课题组组长郭建东研究员的带领下,长期从事过渡金属氧化物低维体系的可控外延制备与新奇物性探索。他们成功在3d强电子关联氧化物CaMnO3(CMO)中引入5d强SOC氧化物SIO并制备成高质量的超晶格([In/Mn]m)样品,其中SIO与CMO的总厚度固定在24个(m×n=24)原胞层。随着周期数m的增加,体系发生了金属-非金属转变,并且转变温度随周期数m的增加而升高。通过详细的低温磁电阻分析表明,体系的金属-非金属转变源于SOC和EEC之间的反相关性。准二维特性的EEC能够影响界面处SIO层的SOC强度,并向SIO内部延伸一定的深度。本研究的相关内容以“Modulation of the Metal−Nonmetal Crossover in SrIrO3/CaMnO3 Superlattices”为题发表在ACS Applied Electronic Materials上。
原文链接:https://pubs.acs.org/doi/10.1021/acsaelm.2c00655。
最近,团队通过精确控制生长,成功在中心对称的SIO中引入应力梯度,打破其结构的空间反演对称性,从而在动量空间中诱导出非平庸的自旋织构。生长在NdGaO3衬底上的SIO薄膜厚度高于24原胞层时,出现应力梯度行为。即随着厚度增加,应力出现连续释放。该机制出现的原因与晶格失配和热膨胀系数失配共同作用有关。进一步,利用二阶非线性磁电输运效应,在共格生长与应力梯度的SIO薄膜中成功探测了动量空间自旋织构。以2π为周期的二阶电阻本质上阐明了非线性的自旋-电荷相互转换。当没有应力梯度时,由于SIO薄膜界面处对称性破缺能够产生二阶单向导电性;但当引入应力梯度之后,SIO表现出两套非线性磁电效应的叠加,其中一套来自界面对称性破缺,另一套则来自应力梯度引入的体对称性破缺,两者的费米面翘曲性质完全不同。我们的实验结果首次提出应力梯度可以作为一种有效的调控动量空间自旋织构的方法,并且提供了一种在中心对称体系中引入自旋劈裂的思路,有望在其他中心对称的强SOC材料中推广。
本研究的相关内容以“Momentum-space spin texture induced by strain gradient in nominally centrosymmetric SrIrO3 films”为题发表在《国家科学评论》(National Science Review)上。怀柔研究部HM-SF06组博士后谷明辉和HM-T03组博士生盛昊昊为该论文的共同第一作者,通讯作者为王志俊研究员、孟梦副研究员和郭建东研究员。本工作中的结构表征、微加工和宏观输运表征等实验均是在综合极端条件实验装置(SECUF)上完成,本工作还得到了北京大学高鹏教授在扫描透射电镜方面的大力帮助。该工作得到了科技部、国家自然科学基金委项目以及中国科学院青年创新促进会等项目的资助。
原文链接:https://academic.oup.com/nsr/advance-article/doi/10.1093/nsr/nwad296/7440018。

图1. [(SrIrO3)n/(CaMnO3)n]m超晶格的结构表征。

图2. [(SrIrO3)n/(CaMnO3)n]m超晶格随着周期数改变发生的金属-非金属转变。

图3. 非线性磁电效应示意图。

图4. 不同厚度SrIrO3薄膜的结构表征。

图5. 应力梯度下SrIrO3薄膜的二阶转角电阻。

图6. 应力梯度下SrIrO3薄膜表现出两套非线性磁电效应的叠加。

图7. 应力梯度导致的SrIrO3在动量空间的自旋织构。
版权与免责声明
【1】本网站凡注明“学会秘书处”的所有作品,版权均属于四川省金属学会所有,未经书面授权,任何媒体、网站或个人不得转载、摘编或利用其它方式使用上述作品。已经本网站协议授权的媒体或网站,应在授权范围内使用上述作品,并注明“来源:四川省金属学会”。违者本网站将追究其相关法律责任。
【2】本网站凡注明“来源:XXX(非学会秘书处)”的作品,均转载自其它媒体,登载此作品出于传递更多信息之目的,不代表学会观点或证实其描述,不对其真实性负责。作品内容仅供参考,如转载稿件涉及版权等问题,请在两周内来电或来函与四川省金属学会联系。
